Day 14: Comparing Means with ANOVA (Section 5.5)

BSTA 511/611

Week 8
Author
Affiliation

Meike Niederhausen, PhD

OHSU-PSU School of Public Health

Published

November 19, 2025

Where are we?



Where are we? Continuous outcome zoomed in



Goals for today (Section 5.5)

  • Analysis of Variance (ANOVA)

  • When to use an ANOVA

  • Hypotheses

  • ANOVA table

  • Different sources of variation in ANOVA

  • ANOVA conditions

  • F-distribution

  • Post-hoc testing of differences in means

  • Running an ANOVA in R

Disability Discrimination Example

  • The U.S. Rehabilitation Act of 1973 prohibited discrimination against people with physical disabilities.
    • The act defined a disabled person as any individual who has a physical or mental impairment that limits the person’s major life activities.
  • A 1980’s study examined whether physical disabilities affect people’s perceptions of employment qualifications
  • Researchers prepared recorded job interviews, using same actors and script each time.
  • Only difference: job applicant appeared with different disabilities.
    • No disability
    • Leg amputation
    • Crutches
    • Hearing impairment
    • Wheelchair confinement
  • 70 undergrad students were randomly assigned to view one of the videotapes,
    • then rated the candidate’s qualifications on a 1-10 scale.
  • The research question: are qualifications evaluated differently depending on the applicant’s presented disability?

Load interview data from .txt file

  • .txt (text) files are usually tab-deliminated files
    • .csv files are comma-separated files
  • read_delim is from the readr package, just like read_csv, and loads with other tidyverse packages
employ <- read_delim(
  file = here::here("data", "DisabilityEmployment.txt"), 
  delim = "\t",   # tab delimited
  trim_ws = TRUE)
Rows: 70 Columns: 2
── Column specification ────────────────────────────────────────────────────────
Delimiter: "\t"
chr (1): disability
dbl (1): score

ℹ Use `spec()` to retrieve the full column specification for this data.
ℹ Specify the column types or set `show_col_types = FALSE` to quiet this message.

trim_ws: specify whether leading and trailing white space should be trimmed from each field before parsing it

glimpse(employ)
Rows: 70
Columns: 2
$ disability <chr> "none", "none", "none", "none", "none", "none", "none", "no…
$ score      <dbl> 1.9, 2.5, 3.0, 3.6, 4.1, 4.2, 4.9, 5.1, 5.4, 5.9, 6.1, 6.7,…
summary(employ)
  disability            score      
 Length:70          Min.   :1.400  
 Class :character   1st Qu.:3.700  
 Mode  :character   Median :5.050  
                    Mean   :4.929  
                    3rd Qu.:6.100  
                    Max.   :8.500  
employ %>% tabyl(disability)
 disability  n percent
    amputee 14     0.2
   crutches 14     0.2
    hearing 14     0.2
       none 14     0.2
 wheelchair 14     0.2

MoRitz’s tip of the day

Read OHSU’s Inclusive Language Guide (below is from pgs. 22-25)

“… an evolving tool to help OHSU members learn about and use inclusive language…”

Sections on: Race and ethnicity, Immigration status, Gender and sexual orientation, and Ability (including physical, mental and chronological attributes)

Factor variable: Make disability a factor variable

glimpse(employ)
Rows: 70
Columns: 2
$ disability <chr> "none", "none", "none", "none", "none", "none", "none", "no…
$ score      <dbl> 1.9, 2.5, 3.0, 3.6, 4.1, 4.2, 4.9, 5.1, 5.4, 5.9, 6.1, 6.7,…
summary(employ)
  disability            score      
 Length:70          Min.   :1.400  
 Class :character   1st Qu.:3.700  
 Mode  :character   Median :5.050  
                    Mean   :4.929  
                    3rd Qu.:6.100  
                    Max.   :8.500  

Make disability a factor variable:

employ <- employ %>% 
  mutate(disability = factor(disability))


What’s different now?

glimpse(employ)
Rows: 70
Columns: 2
$ disability <fct> none, none, none, none, none, none, none, none, none, none,…
$ score      <dbl> 1.9, 2.5, 3.0, 3.6, 4.1, 4.2, 4.9, 5.1, 5.4, 5.9, 6.1, 6.7,…
summary(employ)
      disability     score      
 amputee   :14   Min.   :1.400  
 crutches  :14   1st Qu.:3.700  
 hearing   :14   Median :5.050  
 none      :14   Mean   :4.929  
 wheelchair:14   3rd Qu.:6.100  
                 Max.   :8.500  

Factor variable: Change order & name of disability levels

What are the current level names and order?

levels(employ$disability)
[1] "amputee"    "crutches"   "hearing"    "none"       "wheelchair"

What changes are being made below?

employ <- employ %>% 
  mutate(
    # make "none" the first level
    # by only listing the level none, all other levels will be in original order
    disability = fct_relevel(disability, "none"),
    # change the level name amputee to amputation
    disability = fct_recode(disability, amputation = "amputee")
    )

New order & names:

levels(employ$disability) # note the new order and new name
[1] "none"       "amputation" "crutches"   "hearing"    "wheelchair"

Data viz (1/2)

  • What are the score distribution shapes within each group?
  • Any unusual values?
ggplot(employ, aes(x=score)) +
  geom_density() +
  facet_wrap(~ disability)

library(ggridges) 
ggplot(employ, 
       aes(x=score,
           y = disability,
           fill = disability)) + 
  geom_density_ridges(alpha = 0.4) +
  theme(legend.position="none")
Picking joint bandwidth of 0.801

Data viz (2/2)

  • Compare the score measures of center and spread between the groups
ggplot(employ, 
       aes(y=score, 
           x = disability,
           fill = disability)) +
  geom_boxplot(alpha = 0.3) +
  coord_flip() +
  geom_jitter(width = 0.1, 
              alpha = 0.3) +
  theme(legend.position = "none")

ggplot(employ, 
       aes(x = disability, 
           y=score, 
           fill=disability, 
           color=disability)) +
  geom_dotplot(binaxis = "y", alpha = 0.5) +
  geom_hline(aes(yintercept = mean(score)), 
             lty = "dashed") +
  stat_summary(fun ="mean", geom="point", 
    size = 3, color = "grey33", alpha = 1) +
  theme(legend.position = "none")
Bin width defaults to 1/30 of the range of the data. Pick better value with
`binwidth`.

Hypotheses

To test for a difference in means across k groups:

\[\begin{align} H_0 &: \mu_1 = \mu_2 = ... = \mu_k\\ \text{vs. } H_A&: \text{At least one pair } \mu_i \neq \mu_j \text{ for } i \neq j \end{align}\]

Hypothetical examples:
In which set (A or B) do you believe the evidence will be stronger that at least one population differs from the others?

Comparing means

Whether or not two means are significantly different depends on:

  • How far apart the means are
  • How much variability there is within each group

Questions:

  • How to measure variability between groups?
  • How to measure variability within groups?
  • How to compare the two measures of variability?
  • How to determine significance?

ANOVA in base R

  • There are several options to run an ANOVA model in R
  • Two most common are lm and aov
    • lm = linear model; will be using frequently in BSTA 512
lm(score ~ disability, data = employ) %>% anova()
Analysis of Variance Table

Response: score
           Df  Sum Sq Mean Sq F value  Pr(>F)  
disability  4  30.521  7.6304  2.8616 0.03013 *
Residuals  65 173.321  2.6665                  
---
Signif. codes:  0 '***' 0.001 '**' 0.01 '*' 0.05 '.' 0.1 ' ' 1
aov(score ~ disability, data = employ) %>% summary()
            Df Sum Sq Mean Sq F value Pr(>F)  
disability   4  30.52   7.630   2.862 0.0301 *
Residuals   65 173.32   2.666                 
---
Signif. codes:  0 '***' 0.001 '**' 0.01 '*' 0.05 '.' 0.1 ' ' 1

Hypotheses:

\[\begin{align} H_0 &: \mu_{none} = \mu_{amputation} = \mu_{crutches} = \mu_{hearing} = \mu_{wheelchair}\\ \text{vs. } H_A&: \text{At least one pair } \mu_i \neq \mu_j \text{ for } i \neq j \end{align}\]

Do we reject or fail to reject \(H_0\)?

ANOVA tables

Disability example ANOVA table from R:

lm(score ~ disability, data = employ) %>% anova()
Analysis of Variance Table

Response: score
           Df  Sum Sq Mean Sq F value  Pr(>F)  
disability  4  30.521  7.6304  2.8616 0.03013 *
Residuals  65 173.321  2.6665                  
---
Signif. codes:  0 '***' 0.001 '**' 0.01 '*' 0.05 '.' 0.1 ' ' 1

Generic ANOVA table:

ANOVA: Analysis of Variance

ANOVA compares the variability between groups to the variability within groups

ANOVA: Analysis of Variance

Analysis of Variance (ANOVA) compares the variability between groups to the variability within groups

\[\sum_{i = 1}^k \sum_{j = 1}^{n_i}(x_{ij} -\bar{x})^2 \ \ = \ \sum_{i = 1}^k n_i(\bar{x}_{i}-\bar{x})^2 \ \ + \ \ \sum_{i = 1}^k\sum_{j = 1}^{n_i}(x_{ij}-\bar{x}_{i})^2\]

Notation

  • k groups
  • \(n_i\) observations in each of the k groups
  • Total sample size is \(N=\sum_{i=1}^{k}n_i\)
  • \(\bar{x}_{i}\) = mean of observations in group i
  • \(\bar{x}\) = mean of all observations
  • \(s_{i}\) = sd of observations in group i
  • \(s\) = sd of all observations
Observation i = 1 i = 2 i = 3 \(\ldots\) i = k overall
j = 1 \(x_{11}\) \(x_{21}\) \(x_{31}\) \(\ldots\) \(x_{k1}\)
j = 2 \(x_{12}\) \(x_{22}\) \(x_{32}\) \(\ldots\) \(x_{k2}\)
j = 3 \(x_{13}\) \(x_{23}\) \(x_{33}\) \(\ldots\) \(x_{k3}\)
j = 4 \(x_{14}\) \(x_{24}\) \(x_{34}\) \(\ldots\) \(x_{k4}\)
\(\vdots\) \(\vdots\) \(\vdots\) \(\vdots\) \(\ddots\) \(\vdots\)
j = \(n_i\) \(x_{1n_1}\) \(x_{2n_2}\) \(x_{3n_3}\) \(\ldots\) \(x_{kn_k}\)
Means \(\bar{x}_{1}\) \(\bar{x}_{2}\) \(\bar{x}_{3}\) \(\ldots\) \(\bar{x}_{k}\) \(\bar{x}\)
Variance \({s}^2_{1}\) \({s}^2_{2}\) \({s}^2_{3}\) \(\ldots\) \({s}^2_{k}\) \({s}^2\)

Total Sums of Squares Visually

Bin width defaults to 1/30 of the range of the data. Pick better value with
`binwidth`.

Total Sums of Squares:

\[SST = \sum_{i = 1}^k \sum_{j = 1}^{n_i}(x_{ij} -\bar{x})^2 = (N-1)s^2\]

  • where

    • \(N=\sum_{i=1}^{k}n_i\) is the total sample size and
    • \(s^2\) is the grand standard deviation of all the observations
  • This is the sum of the squared differences between each observed \(x_{ij}\) value and the grand mean, \(\bar{x}\).

  • That is, it is the total deviation of the \(x_{ij}\)’s from the grand mean.

Calculate Total Sums of Squares

Total Sums of Squares:

\[SST = \sum_{i = 1}^k \sum_{j = 1}^{n_i}(x_{ij} -\bar{x})^2 = (N-1)s^2\]

  • where
    • \(N=\sum_{i=1}^{k}n_i\) is the total sample size and
    • \(s^2\) is the grand standard deviation of all the observations

Total sample size \(N\):

(Ns <- employ %>% group_by(disability) %>% count())
# A tibble: 5 × 2
# Groups:   disability [5]
  disability     n
  <fct>      <int>
1 none          14
2 amputation    14
3 crutches      14
4 hearing       14
5 wheelchair    14

\(SST\):

(SST <- (sum(Ns$n) - 1) * sd(employ$score)^2)
[1] 203.8429

ANOVA: Analysis of Variance

ANOVA compares the variability between groups to the variability within groups

Sums of Squares due to Groups Visually (“between” groups)

Bin width defaults to 1/30 of the range of the data. Pick better value with
`binwidth`.

Sums of Squares due to Groups:

\[SSG = \sum_{i = 1}^k n_i(\bar{x}_{i}-\bar{x})^2\]

  • This is the sum of the squared differences between each group mean, \(\bar{x}_{i}\), and the grand mean, \(\bar{x}\).

  • That is, it is the deviation of the group means from the grand mean.

  • Also called the Model SS, or \(SS_{model}.\)

Calculate Sums of Squares due to Groups (“between” groups)

\[SSG = \sum_{i = 1}^k n_i(\bar{x}_{i}-\bar{x})^2\]

Bin width defaults to 1/30 of the range of the data. Pick better value with
`binwidth`.

Calculate means \(\bar{x}_i\) for each group:

xbar_groups <- employ %>% 
  group_by(disability) %>% 
  summarise(mean = mean(score))
xbar_groups
# A tibble: 5 × 2
  disability  mean
  <fct>      <dbl>
1 none        4.9 
2 amputation  4.43
3 crutches    5.92
4 hearing     4.05
5 wheelchair  5.34

Calculate \(SSG\):

(SSG <- sum(Ns$n *
  (xbar_groups$mean - mean(employ$score))^2))
[1] 30.52143

ANOVA: Analysis of Variance

ANOVA compares the variability between groups to the variability within groups

Sums of Squares Error Visually (within groups)

Bin width defaults to 1/30 of the range of the data. Pick better value with
`binwidth`.

Sums of Squares Error:

\[SSE = \sum_{i = 1}^k\sum_{j = 1}^{n_i}(x_{ij}-\bar{x}_{i})^2 = \sum_{i = 1}^k(n_i-1)s_{i}^2\] where \(s_{i}\) is the standard deviation of the \(i^{th}\) group

  • This is the sum of the squared differences between each observed \(x_{ij}\) value and its group mean \(\bar{x}_{i}\).

  • That is, it is the deviation of the \(x_{ij}\)’s from the predicted score by group.

  • Also called the residual sums of squares, or \(SS_{residual}.\)

Calculate Sums of Squares Error (within groups)

\[SSE = \sum_{i = 1}^k\sum_{j = 1}^{n_i}(x_{ij}-\bar{x}_{i})^2 = \sum_{i = 1}^k(n_i-1)s_{i}^2\] where \(s_{i}\) is the standard deviation of the \(i^{th}\) group

Bin width defaults to 1/30 of the range of the data. Pick better value with
`binwidth`.

Calculate sd’s \(s_i\) for each group:

sd_groups <- employ %>% 
  group_by(disability) %>% 
  summarise(SD = sd(score))
sd_groups
# A tibble: 5 × 2
  disability    SD
  <fct>      <dbl>
1 none        1.79
2 amputation  1.59
3 crutches    1.48
4 hearing     1.53
5 wheelchair  1.75

Calculate \(SSE\):

(SSE <- sum(
  (Ns$n-1)*sd_groups$SD^2))
[1] 173.3214

Verify SST = SSG + SSE

ANOVA compares the variability between groups to the variability within groups

\[\sum_{i = 1}^k \sum_{j = 1}^{n_i}(x_{ij} -\bar{x})^2 \ \ = \ \ n_i\sum_{i = 1}^k(\bar{x}_{i}-\bar{x})^2 \ \ + \ \ \sum_{i = 1}^k\sum_{j = 1}^{n_i}(x_{ij}-\bar{x}_{i})^2\]

\[(N-1)s^2 \ \ = \ \sum_{i = 1}^k n_i(\bar{x}_{i}-\bar{x})^2 \ \ + \ \ \sum_{i = 1}^k(n_i-1)s_{i}^2\]

SST
[1] 203.8429
SSG + SSE
[1] 203.8429

ANOVA table

Thinking about the F-statistic

If the groups are actually different, then which of these is more accurate?

  1. The variability between groups should be higher than the variability within groups
  2. The variability within groups should be higher than the variability between groups

If there really is a difference between the groups, we would expect the F-statistic to be which of these:

  1. Higher than we would observe by random chance
  2. Lower than we would observe by random chance

\[F = \frac{MSG}{MSE}\]

ANOVA in base R

# Note that I'm saving the tidy anova table
# Will be pulling p-value from this on future slide

empl_lm <- lm(score ~ disability, data = employ) %>% 
  anova() %>% 
  tidy()

empl_lm %>% gt()
term df sumsq meansq statistic p.value
disability 4 30.52143 7.630357 2.86158 0.03012686
Residuals 65 173.32143 2.666484 NA NA

Hypotheses:

\[\begin{align} H_0 &: \mu_{none} = \mu_{amputation} = \mu_{crutches} = \mu_{hearing} = \mu_{wheelchair}\\ \text{vs. } H_A&: \text{At least one pair } \mu_i \neq \mu_j \text{ for } i \neq j \end{align}\]

Do we reject or fail to reject \(H_0\)?

Conclusion to hypothesis test

\[\begin{align} H_0 &: \mu_{none} = \mu_{amputation} = \mu_{crutches} = \mu_{hearing} = \mu_{wheelchair}\\ \text{vs. } H_A&: \text{At least one pair } \mu_i \neq \mu_j \text{ for } i \neq j \end{align}\]

empl_lm  # tidy anova output
# A tibble: 2 × 6
  term          df sumsq meansq statistic p.value
  <chr>      <int> <dbl>  <dbl>     <dbl>   <dbl>
1 disability     4  30.5   7.63      2.86  0.0301
2 Residuals     65 173.    2.67     NA    NA     
# Note that this is a vector:
empl_lm$p.value
[1] 0.03012686         NA

Pull the p-value using base R:

round(empl_lm$p.value[1],2)
[1] 0.03

Pull the p-value using tidyverse:

empl_lm %>% 
  filter(term == "disability") %>% 
  pull(p.value) %>% 
  round(2)
[1] 0.03
  • Use \(\alpha\) = 0.05.
  • Do we reject or fail to reject \(H_0\)?

Conclusion statement:

  • There is sufficient evidence that at least one of the disability groups has a mean employment score statistically different from the other groups. ( \(p\)-value = 0.03).

Conditions for ANOVA

IF ALL of the following conditions hold:

  1. The null hypothesis is true
  2. Sample sizes in each group group are large (each \(n \ge 30\))
    • OR the data are relatively normally distributed in each group
  1. Variability is “similar” in all group groups:
    • Is the within group variability about the same for each group?
    • As a rough rule of thumb, this condition is violated if the standard deviation of one group is more than double the standard deviation of another group

Checking the equal variance condition:

sd_groups # previously defined
# A tibble: 5 × 2
  disability    SD
  <fct>      <dbl>
1 none        1.79
2 amputation  1.59
3 crutches    1.48
4 hearing     1.53
5 wheelchair  1.75
max(sd_groups$SD) / min(sd_groups$SD)
[1] 1.210425

THEN the sampling distribution of the F-statistic is an F-distribution

Testing variances (Condition 3)

Bartlett’s test for equal variances

  • \(H_0:\) population variances of group levels are equal
  • \(H_A:\) population variances of group levels are NOT equal

Note: \(H_A\) is same as saying that at least one of the group levels has a different variance

Caution
  • Bartlett’s test assumes the data in each group are normally distributed.
  • Do not use if data do not satisfy the normality condition.
bartlett.test(score ~ disability, data = employ)

    Bartlett test of homogeneity of variances

data:  score by disability
Bartlett's K-squared = 0.7016, df = 4, p-value = 0.9511
Tip

Levene’s test for equality of variances is not as restrictive: see https://www.statology.org/levenes-test-r/

The F-distribution

  • The F-distribution is skewed right.
  • The F-distribution has two different degrees of freedom:
    • one for the numerator of the ratio (k – 1) and
    • one for the denominator (N – k)
  • \(p\)-value
    • is always the upper tail
    • (the area as extreme or more extreme)

empl_lm %>% gt()
term df sumsq meansq statistic p.value
disability 4 30.52143 7.630357 2.86158 0.03012686
Residuals 65 173.32143 2.666484 NA NA
# p-value using F-distribution

pf(2.86158, df1=5-1, df2=70-5, 
   lower.tail = FALSE)
[1] 0.03012688

Which groups are statistically different?


  • So far we’ve only determined that at least one of the groups is different from the others,
    • but we don’t know which.


  • What’s your guess?
Bin width defaults to 1/30 of the range of the data. Pick better value with
`binwidth`.

Post-hoc testing for ANOVA

determining which groups are statistically different

Post-hoc testing: pairwise t-tests

  • In post-hoc testing we run all the pairwise t-tests comparing the means from each pair of groups.
  • With 5 groups, this involves doing \({5 \choose 2} = \frac{5!}{2!3!} = \frac{5\cdot 4}{2}= 10\) different pairwise tests.

Problem:

  • Although the ANOVA test has an \(\alpha\) chance of a Type I error (finding a difference between a pair that aren’t different),
  • the overall Type I error rate will be much higher when running many tests simultaneously.

\[\begin{align} P(\text{making an error}) = & \alpha\\ P(\text{not making an error}) = & 1-\alpha\\ P(\text{not making an error in m tests}) = & (1-\alpha)^m\\ P(\text{making at least 1 error in m tests}) = & 1-(1-\alpha)^m \end{align}\]

The Bonferroni Correction (1/2)

A very conservative (but very popular) approach is to divide the \(\alpha\) level by how many tests \(m\) are being done:

\[\alpha_{Bonf} = \frac{\alpha}{m}\]

  • This is equivalent to multiplying the
    p-values by m:

\[p\textrm{-value} < \alpha_{Bonf} = \frac{\alpha}{m}\] is the same as \[m \cdot (p\textrm{-value}) < \alpha\] The Bonferroni correction is popular since it’s very easy to implement.

  • The plot below shows the likelihood of making at least one Type I error depending on how may tests are done.
  • Notice the likelihood decreases very quickly
    • Unfortunately the likelihood of a Type II error is increasing as well
    • It becomes “harder” and harder to reject \(H_0\) if doing many tests.

The Bonferroni Correction (2/2)

Pairwise t-tests without any p-value adjustments:

pairwise.t.test(employ$score, 
                employ$disability, 
                p.adj="none") 

    Pairwise comparisons using t tests with pooled SD 

data:  employ$score and employ$disability 

           none   amputation crutches hearing
amputation 0.4477 -          -        -      
crutches   0.1028 0.0184     -        -      
hearing    0.1732 0.5418     0.0035   -      
wheelchair 0.4756 0.1433     0.3520   0.0401 

P value adjustment method: none 

Pairwise t-tests with Bonferroni p-value adjustments:

pairwise.t.test(employ$score,  
                employ$disability, 
                p.adj="bonferroni")  

    Pairwise comparisons using t tests with pooled SD 

data:  employ$score and employ$disability 

           none  amputation crutches hearing
amputation 1.000 -          -        -      
crutches   1.000 0.184      -        -      
hearing    1.000 1.000      0.035    -      
wheelchair 1.000 1.000      1.000    0.401  

P value adjustment method: bonferroni 
  • Since there were 10 tests, all the p-values were multiplied by 10.
  • Are there any significant pairwise differences?

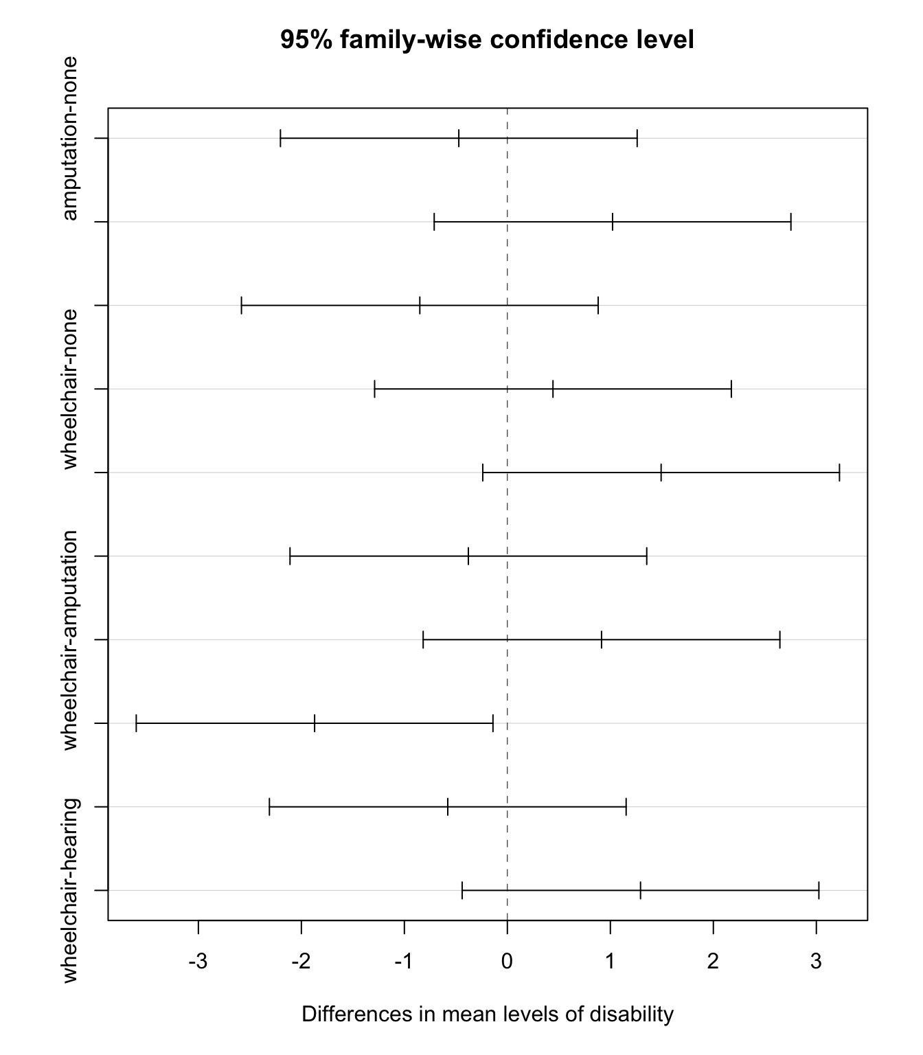
Tukey’s Honest Significance Test (HSD)

  • Tukey’s Honest Significance Test (HSD) controls the “family-wise probability” of making a Type I error using a much less conservative method than Bonferroni
    • It is specific to ANOVA
  • In addition to adjusted p-values, it also calculates Tukey adjusted CI’s for all pairwise differences
  • The function TukeyHSD() creates a set of confidence intervals of the differences between means with the specified family-wise probability of coverage.
# need to run the model using `aov` instead of `lm`
empl_aov <- aov(score ~ disability, data = employ) 

TukeyHSD(x=empl_aov, conf.level = 0.95) 
  Tukey multiple comparisons of means
    95% family-wise confidence level

Fit: aov(formula = score ~ disability, data = employ)

$disability
                            diff        lwr        upr     p adj
amputation-none       -0.4714286 -2.2031613  1.2603042 0.9399911
crutches-none          1.0214286 -0.7103042  2.7531613 0.4686233
hearing-none          -0.8500000 -2.5817328  0.8817328 0.6442517
wheelchair-none        0.4428571 -1.2888756  2.1745899 0.9517374
crutches-amputation    1.4928571 -0.2388756  3.2245899 0.1232819
hearing-amputation    -0.3785714 -2.1103042  1.3531613 0.9724743
wheelchair-amputation  0.9142857 -0.8174470  2.6460185 0.5781165
hearing-crutches      -1.8714286 -3.6031613 -0.1396958 0.0277842
wheelchair-crutches   -0.5785714 -2.3103042  1.1531613 0.8812293
wheelchair-hearing     1.2928571 -0.4388756  3.0245899 0.2348141
plot(TukeyHSD(x=empl_aov, 
        conf.level = 0.95))

There are many more multiple testing adjustment procedures

  • Bonferroni is popular because it’s so easy to apply
  • Tukey’s HSD is usually used for ANOVA
  • Code below used Holm’s adjustment
# default is Holm's adjustments
pairwise.t.test(employ$score, 
                employ$disability) 

    Pairwise comparisons using t tests with pooled SD 

data:  employ$score and employ$disability 

           none  amputation crutches hearing
amputation 1.000 -          -        -      
crutches   0.719 0.165      -        -      
hearing    0.866 1.000      0.035    -      
wheelchair 1.000 0.860      1.000    0.321  

P value adjustment method: holm 
  • False discovery rate (fdr) p-value adjustments are popular in omics, or whenever there are many tests being run:
pairwise.t.test(employ$score, 
                employ$disability, 
                p.adj="fdr") 

    Pairwise comparisons using t tests with pooled SD 

data:  employ$score and employ$disability 

           none  amputation crutches hearing
amputation 0.528 -          -        -      
crutches   0.257 0.092      -        -      
hearing    0.289 0.542      0.035    -      
wheelchair 0.528 0.287      0.503    0.134  

P value adjustment method: fdr 

Multiple testing

post-hoc testing vs. testing many outcomes

https://xkcd.com/882/

Multiple testing: controlling the Type I error rate

  • The multiple testing issue is not unique to ANOVA post-hoc testing.
  • It is also a concern when running separate tests for many related outcomes.
  • Beware of p-hacking!

Problem:

  • Although one test has an \(\alpha\) chance of a Type I error (finding a difference between a pair that aren’t different),
  • the overall Type I error rate will be much higher when running many tests simultaneously.

\[\begin{align} P(\text{making an error}) = & \alpha\\ P(\text{not making an error}) = & 1-\alpha\\ P(\text{not making an error in m tests}) = & (1-\alpha)^m\\ P(\text{making at least 1 error in m tests}) = & 1-(1-\alpha)^m \end{align}\]

ANOVA Summary

\[\begin{align} H_0 &: \mu_1 = \mu_2 = ... = \mu_k\\ \text{vs. } H_A&: \text{At least one pair } \mu_i \neq \mu_j \text{ for } i \neq j \end{align}\]

ANOVA table in R:

lm(score ~ disability, data = employ) %>% anova()
Analysis of Variance Table

Response: score
           Df  Sum Sq Mean Sq F value  Pr(>F)  
disability  4  30.521  7.6304  2.8616 0.03013 *
Residuals  65 173.321  2.6665                  
---
Signif. codes:  0 '***' 0.001 '**' 0.01 '*' 0.05 '.' 0.1 ' ' 1

ANOVA table

Post-hoc testing

F-distribution & p-value

What’s next?